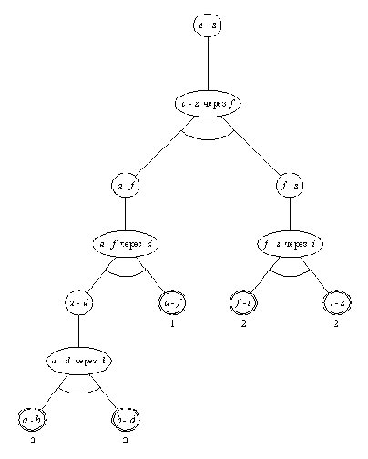
Решающее дерево минимальной
Рисунок 13. 5. Решающее дерево минимальной стоимости для задачи
поиска маршрута Рисунок 13.1, сформулированной в терминах И / ИЛИ-
графа.

13.5 показан решающий граф, имеющий стоимость 9. Это дерево соответствует пути [a, b, d, f, i, z], который можно построить, если пройти по всем листьям решающего дерева слева направо.